1,338円
ジーニーのニュース
~数値分析未経験でも、既存のデータをもとにした分析案の立案、グラフ化、将来予測までが可能に~
株式会社ジーニー(本社:東京都新宿区、代表取締役社長:工藤 智昭、以下ジーニー)のグループ会社である、AIを活用したプロダクト開発・販売を行うJAPAN AI株式会社(本社:東京都新宿区、代表取締役社長:工藤 智昭、以下JAPAN AI)は、自律型AIエージェント「JAPAN AI AGENT」のラインナップとして、Excelなどの表計算ソフトの数値データをもとにした分析業務を補助するAIエージェント「データ分析コンシェルジュ」の提供を開始したことをお知らせします。

■「データ分析コンシェルジュ」AIエージェントとは
「データ分析コンシェルジュ」は、Excelなどの表計算ソフトのデータを与えることで、そのデータをもとにどのような分析ができるかといった「分析案」の提案から、グラフ化や将来の予測値の算出まで行うAIエージェントです。
「データはあるけどどんな分析をすればいいか分からない」という場合や、「将来の予測をどのような数式を用いて計算すればいいか分からない」といった場合でも、簡単な指示で誰でも簡単に分析ができます。
データの分析には、データ解析が得意なプログラミング言語であるPythonを用いて行います。
想定されるユースケース
企業活動における数値分析の、様々な場面で活用できます。
【活用例(一部抜粋)】
- 市場調査
- 店舗の売上予測
- 損益分岐点の予測
- 在庫管理、出荷予測
- 退職のリスク要因分析
- 需要予測
- 製品寿命の予測分析
- リスク分析
など
■「データ分析コンシェルジュ」の使い方
1.Excelデータ・csvデータを読み込ませて分析の方針を考えさせる
「データ分析コンシェルジュ」にExcelデータやcsvデータを読み込ませると、データの内容から、分析案を提案してくれます。

※国際連合が公開している全世界の人口データを与えて、分析案を提案させた例
2.グラフ化および将来の予測値の算出
「データ分析コンシェルジュ」が提案した分析案(あるいはそれ以外の分析案)を指示すると、その分析を実行してグラフ化します。
過去のデータの推移から、AIが適当と判断した計算式を用いて将来の予測値を算出することも可能です。

※世界の総人口の、これまでの推移と今後の予測をグラフ化させた結果
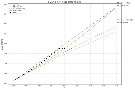
3.異なる予測モデルでの算出
複数の計算式で予測計算した結果を比較表示させることも可能です。

※世界の総人口の今後の予測を、複数の数式で計算し比較させた結果
■今後の展望
分析系のAIエージェントラインナップを拡充させることにより、ビジネスやマーケティングなどの戦略策定業務を支援します。
また、「スライド作成アシスタントAIエージェント」などと連携することにより、分析結果の資料化といったアウトプットも自動化・効率化させていきます。
■JAPAN AIのサービス概要
JAPAN AI AGENT
設定した目標やゴールに対し、AIが自ら思考し、特定のタスクを実行するAIシステム。日常的に発生する様々なタスクを自動化することができます。
URL:https://japan-ai.co.jp/agent/
JAPAN AI CHAT
最新の言語モデルを使用した法人向け生成AI活用プラットフォームです。通常のChatGPTとしての利用はもちろん、データ連携と独自開発による高精度のRAGにより、社内データの検索や、社内データを元にした回答生成も可能です。多数のプロンプトテンプレートや、カスタマーサクセスによるサポートも用意しています。
URL:https://japan-ai.co.jp/chat/
JAPAN AI SPEECH
議事録を自動で生成するAIサービスです。業界用語への対応や話者分離など、議事録として必要な機能はもちろん、文字起こしした文章をAIにより様々な形に要約・編集できる機能を備えています。
URL:https://japan-ai.co.jp/speech/
■JAPAN AIについて
JAPAN AIは「企業が1社に一つオリジナルのAIを持つ時代を創る。AIは働く人をサポートし、圧倒的な生産性を実現する。」というビジョンを掲げ、最新のAI技術を活用したプロダクトやサービス提供により、多様な業界での事業拡大や産業の発展に貢献していきます。
URL:https://japan-ai.co.jp/
■会社概要
社 名:JAPAN AI株式会社
代 表 者:代表取締役社長 工藤 智昭
本 社:東京都新宿区西新宿6-8-1
設 立:2023年4月14日
事業内容:人工知能の研究開発、人工知能に関するコンサルティングサービス
URL:https://japan-ai.co.jp/
■ジーニーについて
ジーニーは、「誰もがマーケティングで成功できる世界を創る」、「日本発の世界的なテクノロジー企業となり、日本とアジアに貢献する」という2つのPurpose(企業の存在意義)のもと、企業の収益拡大・生産性向上など様々な課題解決につながるソリューションを開発・提供するマーケティングテクノロジーカンパニーです。
■会社概要
社 名:株式会社ジーニー
代 表 者:代表取締役社長 工藤 智昭
本 社:東京都新宿区西新宿6-8-1 住友不動産新宿オークタワー5/6階
設 立:2010年4月
資 本 金:100百万円(連結、2024年12月末現在)
従業員数:617名(連結、2024年3月末現在)
海外拠点:米国、インド、シンガポール、ベトナム、インドネシア、UAE
事業内容:広告プラットフォーム事業、マーケティングSaaS事業、海外事業、デジタルPR事業
U R L:https://geniee.co.jp/
株式会社ジーニー(本社:東京都新宿区、代表取締役社長:工藤 智昭、以下ジーニー)のグループ会社である、AIを活用したプロダクト開発・販売を行うJAPAN AI株式会社(本社:東京都新宿区、代表取締役社長:工藤 智昭、以下JAPAN AI)は、自律型AIエージェント「JAPAN AI AGENT」のラインナップとして、Excelなどの表計算ソフトの数値データをもとにした分析業務を補助するAIエージェント「データ分析コンシェルジュ」の提供を開始したことをお知らせします。

■「データ分析コンシェルジュ」AIエージェントとは
「データ分析コンシェルジュ」は、Excelなどの表計算ソフトのデータを与えることで、そのデータをもとにどのような分析ができるかといった「分析案」の提案から、グラフ化や将来の予測値の算出まで行うAIエージェントです。
「データはあるけどどんな分析をすればいいか分からない」という場合や、「将来の予測をどのような数式を用いて計算すればいいか分からない」といった場合でも、簡単な指示で誰でも簡単に分析ができます。
データの分析には、データ解析が得意なプログラミング言語であるPythonを用いて行います。
想定されるユースケース
企業活動における数値分析の、様々な場面で活用できます。
【活用例(一部抜粋)】
- 市場調査
- 店舗の売上予測
- 損益分岐点の予測
- 在庫管理、出荷予測
- 退職のリスク要因分析
- 需要予測
- 製品寿命の予測分析
- リスク分析
など
■「データ分析コンシェルジュ」の使い方
1.Excelデータ・csvデータを読み込ませて分析の方針を考えさせる
「データ分析コンシェルジュ」にExcelデータやcsvデータを読み込ませると、データの内容から、分析案を提案してくれます。

※国際連合が公開している全世界の人口データを与えて、分析案を提案させた例
2.グラフ化および将来の予測値の算出
「データ分析コンシェルジュ」が提案した分析案(あるいはそれ以外の分析案)を指示すると、その分析を実行してグラフ化します。
過去のデータの推移から、AIが適当と判断した計算式を用いて将来の予測値を算出することも可能です。

※世界の総人口の、これまでの推移と今後の予測をグラフ化させた結果
3.異なる予測モデルでの算出
複数の計算式で予測計算した結果を比較表示させることも可能です。

※世界の総人口の今後の予測を、複数の数式で計算し比較させた結果
■今後の展望
分析系のAIエージェントラインナップを拡充させることにより、ビジネスやマーケティングなどの戦略策定業務を支援します。
また、「スライド作成アシスタントAIエージェント」などと連携することにより、分析結果の資料化といったアウトプットも自動化・効率化させていきます。
■JAPAN AIのサービス概要
JAPAN AI AGENT
設定した目標やゴールに対し、AIが自ら思考し、特定のタスクを実行するAIシステム。日常的に発生する様々なタスクを自動化することができます。
URL:https://japan-ai.co.jp/agent/
JAPAN AI CHAT
最新の言語モデルを使用した法人向け生成AI活用プラットフォームです。通常のChatGPTとしての利用はもちろん、データ連携と独自開発による高精度のRAGにより、社内データの検索や、社内データを元にした回答生成も可能です。多数のプロンプトテンプレートや、カスタマーサクセスによるサポートも用意しています。
URL:https://japan-ai.co.jp/chat/
JAPAN AI SPEECH
議事録を自動で生成するAIサービスです。業界用語への対応や話者分離など、議事録として必要な機能はもちろん、文字起こしした文章をAIにより様々な形に要約・編集できる機能を備えています。
URL:https://japan-ai.co.jp/speech/
■JAPAN AIについて
JAPAN AIは「企業が1社に一つオリジナルのAIを持つ時代を創る。AIは働く人をサポートし、圧倒的な生産性を実現する。」というビジョンを掲げ、最新のAI技術を活用したプロダクトやサービス提供により、多様な業界での事業拡大や産業の発展に貢献していきます。
URL:https://japan-ai.co.jp/
■会社概要
社 名:JAPAN AI株式会社
代 表 者:代表取締役社長 工藤 智昭
本 社:東京都新宿区西新宿6-8-1
設 立:2023年4月14日
事業内容:人工知能の研究開発、人工知能に関するコンサルティングサービス
URL:https://japan-ai.co.jp/
■ジーニーについて
ジーニーは、「誰もがマーケティングで成功できる世界を創る」、「日本発の世界的なテクノロジー企業となり、日本とアジアに貢献する」という2つのPurpose(企業の存在意義)のもと、企業の収益拡大・生産性向上など様々な課題解決につながるソリューションを開発・提供するマーケティングテクノロジーカンパニーです。
■会社概要
社 名:株式会社ジーニー
代 表 者:代表取締役社長 工藤 智昭
本 社:東京都新宿区西新宿6-8-1 住友不動産新宿オークタワー5/6階
設 立:2010年4月
資 本 金:100百万円(連結、2024年12月末現在)
従業員数:617名(連結、2024年3月末現在)
海外拠点:米国、インド、シンガポール、ベトナム、インドネシア、UAE
事業内容:広告プラットフォーム事業、マーケティングSaaS事業、海外事業、デジタルPR事業
U R L:https://geniee.co.jp/
この銘柄の最新ニュース
ジーニーのニュース一覧- ジーニー---JAPAN AIが経理・法務・広報向けAIエージェント3種の提供を開始 2025/12/11
- 働き方劇的変化は必至、「AIエージェント」で浮上機運高まる妙味株7選 <株探トップ特集> 2025/12/09
- グループ会社JAPAN AI株式会社が経理・法務・広報向けAIエージェント3種の提供を開始 2025/12/05
- ジーニー---架電業務を自動化するAIオペレーター「JAPAN AI CALL」を提供開始 2025/12/03
- グループ会社JAPAN AI株式会社が架電業務を自動化するAIオペレーター「JAPAN AI CALL」を提供開始 2025/12/02
マーケットニュース
おすすめ条件でスクリーニングされた銘柄を見る
ジーニーの取引履歴を振り返りませんか?
ジーニーの株を取引したことがありますか?みんかぶアセットプランナーに取引口座を連携すると売買履歴をチャート上にプロットし、自分の取引を視覚的に確認することができます。
アセットプランナーの取引履歴機能とは
※アセプラを初めてご利用の場合は会員登録からお手続き下さい。