①の続きです☆
http://minkabu.jp/blog/show/187861
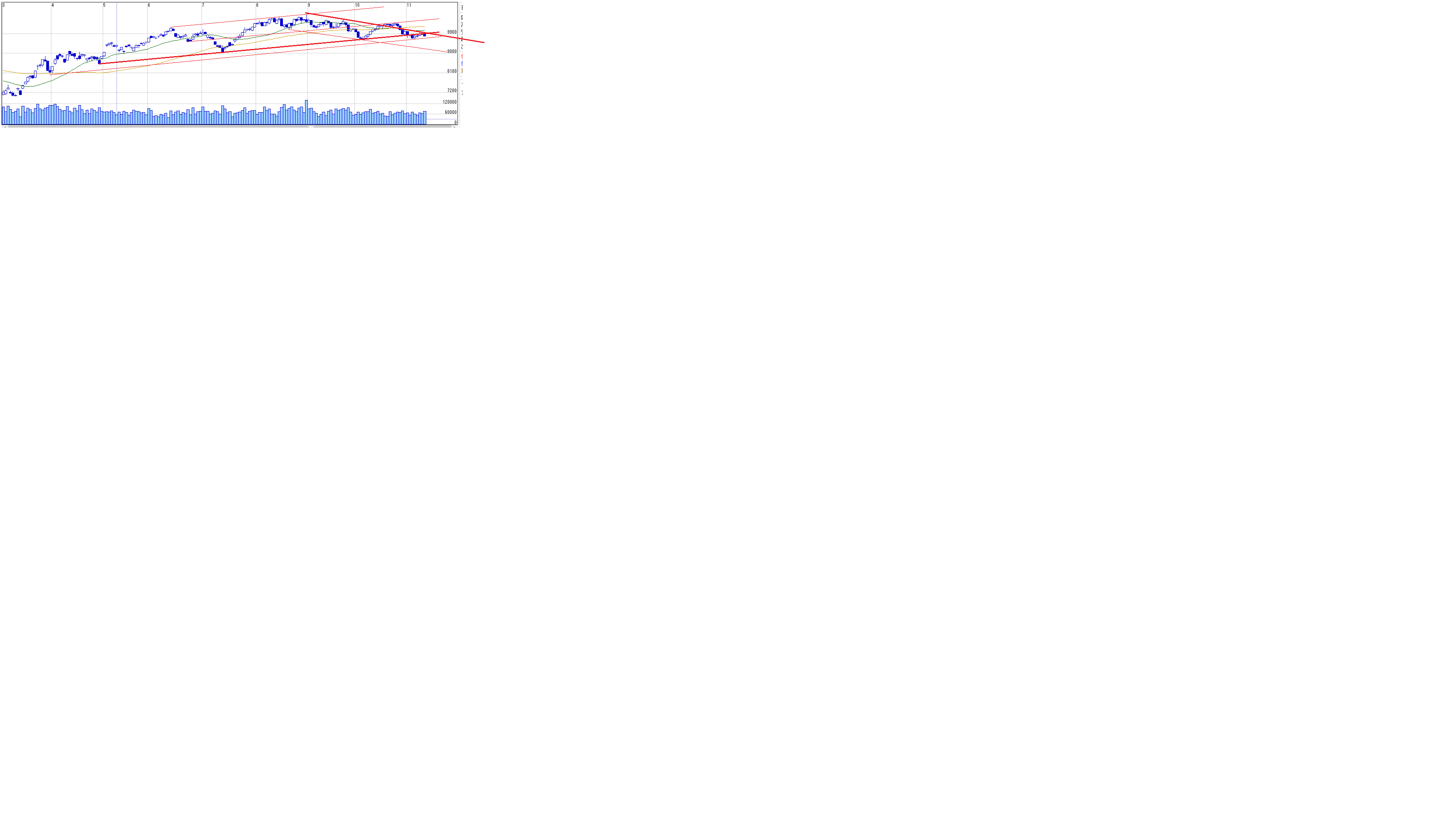
☆トレンドライン(画像1)
あいかわらず太い赤ラインが上値抵抗となってしまっていてブレイクできず、、、
☆DMI(画像2)
・ADXが上昇してきてるのが気になる、、、
☆CMF(画像3)
・底打ちのタイミング(CMFがマイナスからプラス転換)待ち
☆結論:現時点では先物は買えないなー --;
でも、今日のダウの下げは3日前から織り込み済みの気もする、、、^^;
この3日間毎日同じチャート(後場から下落)
売り崩しの手口も同じ、、、(分足転換線タッチ売りのアルゴリズム)
まさにSQがらみの攻防売りという感じがするので、不要になったヘッジ売り分は明日は買い戻されるのでは、、、??
機関はGDP発表を控えて動けない、、、
GDP発表とともに今まで様子見の機関も動き出すと思う。
その頃にはチャート形状もよくなってることに期待☆


